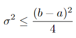
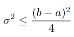
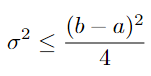
랜덤 변수 X가 특정 구간 [a,b]에서만 샘플링 된다고 하면 최대 분산 공식은 정해져 있다. 이 부등식은 당연히 다른 종류의 부등식 증명에서 중간과정으로 쓰인다. 나중에 논문이나 교과서 독해를 쉽게 하도록 아래 부등식의 유도 과정을 알아보기로 한다.

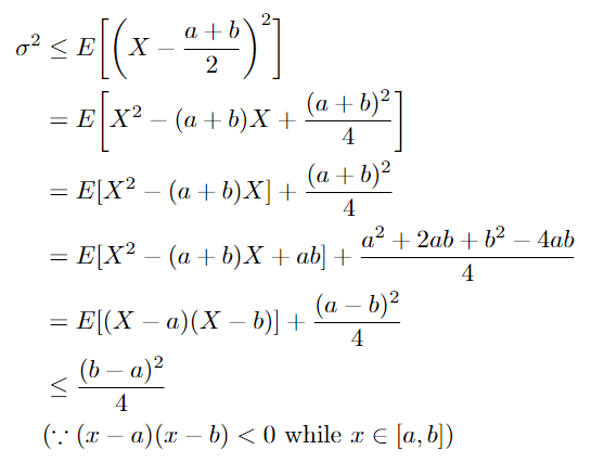
모든 c에 대해서 아래가 성립한다.

이를 c에 대해 미분해보면, c가 랜덤 변수 X의 기대값일 때 위 수식이 최소가 됨을 알 수 있다.

그래서

c에 X의 기대값을 넣고 보면 분산을 구하는 식이 되는데, 아래 부등식이 성립한다는 걸 알 수 있다.

위 부등식에 c = (a+b)/2 를 대입해보면, (보기 좋게 부등식 좌우를 바꾸어 표기)


